This is How Much Each Icon Brickell Owner Will Have to Pay to Fix That Giant Leaking Pool

June 8, 2016

by: Lucas Lechuga

Icon Brickell Pool

Icon Brickell Pool

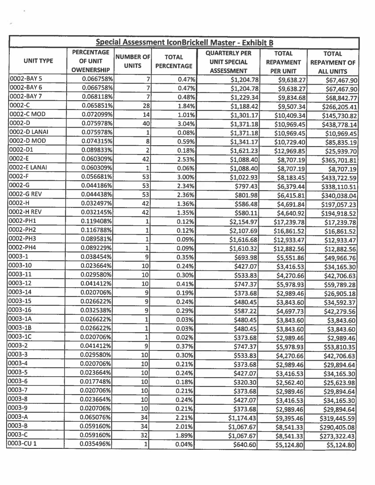
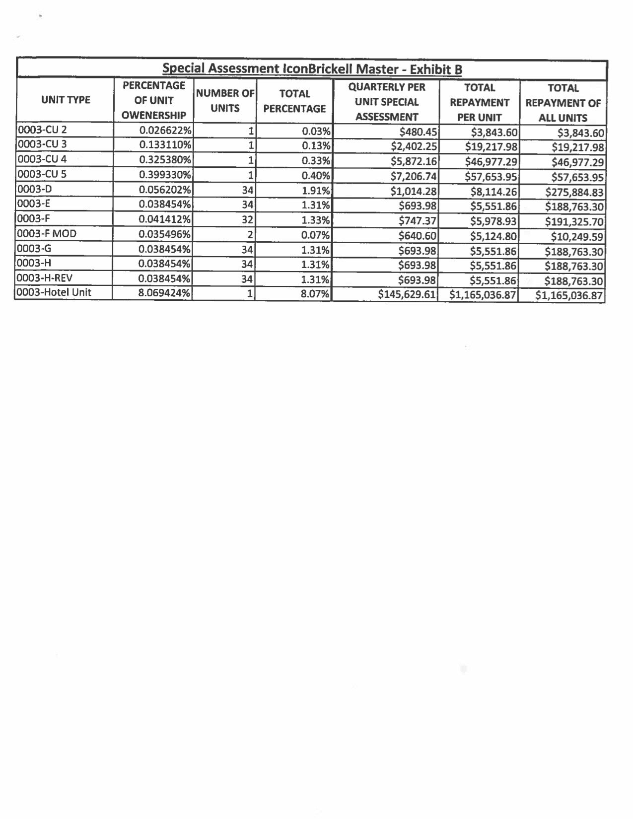
The Icon Brickell Master Association sent out a letter to ‘All Association Members,’ meaning every owner in the three-towered colossus, to lay out how much each is expected to pay, broken down per unit, for the repair and replacement of Icon Brickell’s poorly constructed pool. The cost of the entire $14 million project is being split up among the development’s 1,718 total units, the newly rebranded W Hotel, and even (from the looks of it) the restaurants, proportional to each owner’s percentage ownership of the development. This breaks down the amount of the special assessment to thousands of dollars for a typical unit, but not tens of thousands. Reasonable? The association is set to vote on the special assessment on 14th.

Leave a Reply

9 responses to “This is How Much Each Icon Brickell Owner Will Have to Pay to Fix That Giant Leaking Pool”

  1. Anonymous says:

    Any good deals based on these huge assesments?

  2. Anonymous says:

    I always knew this building was a piece of $hiit with a French Bow Tie.

    • Anonymous says:

      These buildings are built from the best materials that cost 1.8 billion all three. The problem was in the end! Downfall of economy

      • No Mas. says:

        The downfall of the economy created a 14 million dollar pool leak??

        “These buildings were built from the best deal they could get from China” is what you meant to say, unfortunately, they paid 1.8 Billion dollars.

  3. Anonymous says:

    Why is Related not paying this?????

  4. Anonymous says:

    George Perez is one of the biggest greedy crook in Miami. He never delivered quality products to the buyers. As usual most of his projects need major repairs after several years from completion.
    Shameless pathological egomaniac.

    • Anonymous says:

      I am an owner in the building with a smaller apartment. The cost is not that excessive HOWEVER we do believe that there is a court case ongoing with the builders that no owners have any information about. The numbers shown are obviously the ones that have been released to the owners. Again very little communication as 14,000,000 sounds like a large number with no information shared. The building is lovely just a shame that the management association shares no information with its owners…. It will come back as a building but really the management is poor at best in communicating to its owners. Yes agreed someone should really look into George Perez and Related Group as this is definitely not the first building with major issues. Perhaps a law firm out there would like to take up a law suit for the tenants against the management committee or even Related Group.

  5. Marco says:

    Anyone has information if the meeting approved the 14.4 M maintenance?

Leave a Reply